Start Prep From 0 & Get IIT Bombay with Most Powerful JEE Dropper Course

NCERT Solutions for Class 11 Maths chapter 10 - Straight Lines - Free PDF Download

NCERT Solutions for Class 11 Maths chapter 10 - Straight Lines - Free PDF Download
Hey, are you a class 11 student and looking for ways to download NCERT Solutions for Class 11 Maths chapter 10 "Straight Lines"? If yes. Then read this post till the end.

In this article, we have listed NCERT solution for class 11 Maths Chapter 10 in PDF that is prepared by Kota’s top IITian’s Faculties by keeping Simplicity in mind.

If you want to learn and understand class 11 Maths chapter 10 "Straight Lines" in an easy way then you can use these solutions PDF.

NCERT Solutions helps students to Practice important concepts of subjects easily. Class 11 Maths solutions provide detailed explanations of all the NCERT exercise questions that students can use to clear their doubts instantly.

If you want to score high in your class 11 Maths Exam then it is very important for you to have a good knowledge of all the important topics, so to learn and practice those topics you can use eSaral NCERT Solutions.

In this article, we have listed NCERT Solution for Class 11 Maths chapter 10 that you can download to start your preparations anytime.

So, without wasting more time Let’s start.

Download The PDF of NCERT Solutions for Class 11 Maths Chapter 10 "Straight Lines"

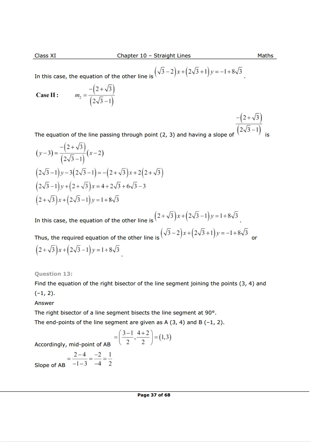
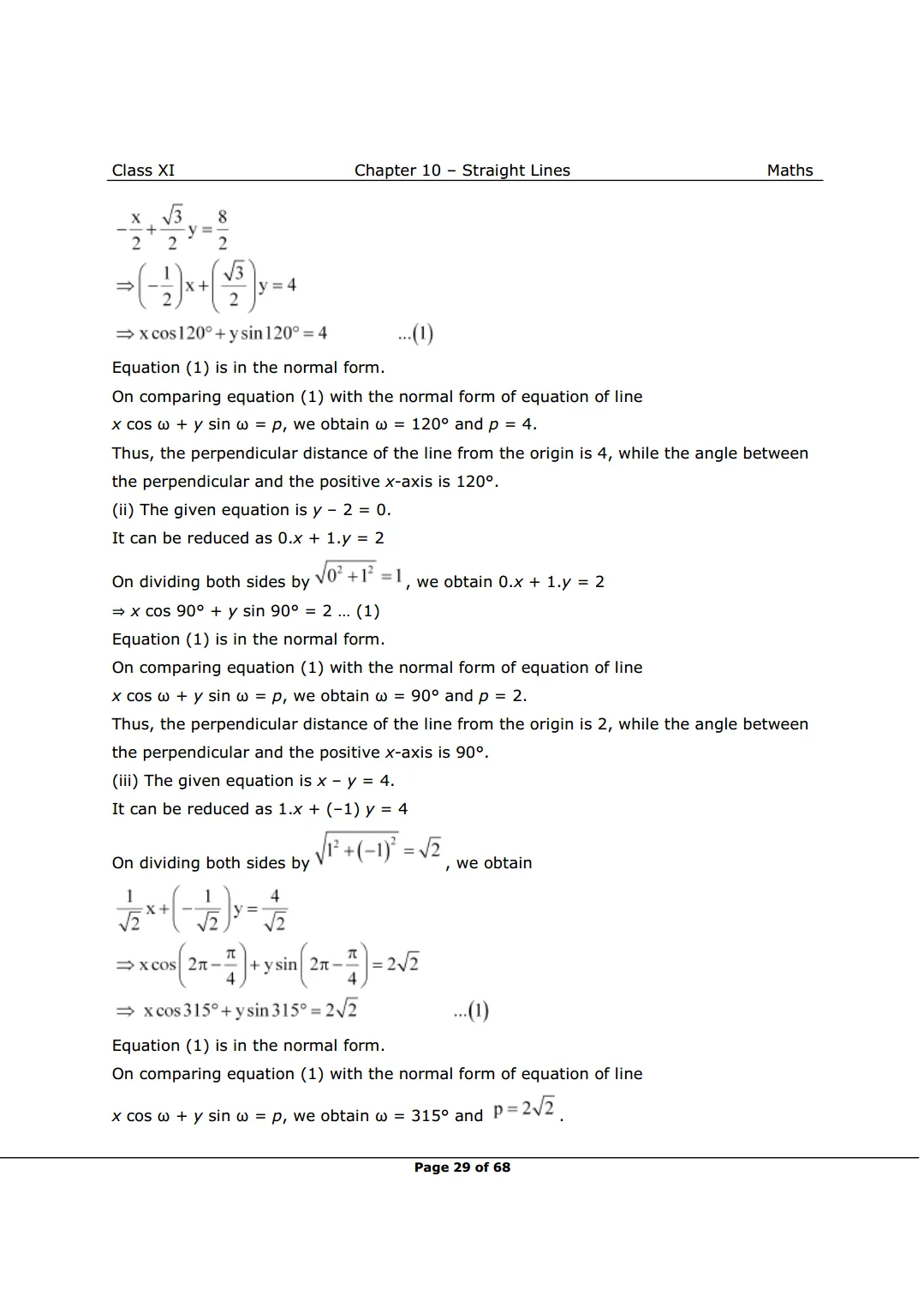
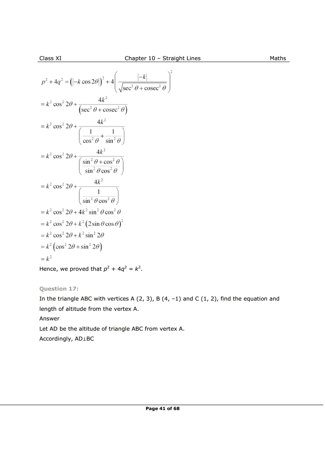
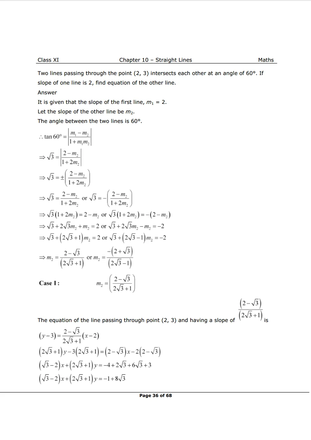
NCERT Solutions for Class 11 Maths chapter 10 Image 1 NCERT Solutions for Class 11 Maths chapter 10 Image 2 NCERT Solutions for Class 11 Maths chapter 10 Image 3 NCERT Solutions for Class 11 Maths chapter 10 Image 4 NCERT Solutions for Class 11 Maths chapter 10 Image 5 NCERT Solutions for Class 11 Maths chapter 10 Image 6 NCERT Solutions for Class 11 Maths chapter 10 Image 7 NCERT Solutions for Class 11 Maths chapter 10 Image 8 NCERT Solutions for Class 11 Maths chapter 10 Image 9 NCERT Solutions for Class 11 Maths chapter 10 Image 10 NCERT Solutions for Class 11 Maths chapter 10 Image 11 Solutions Image 12 Solutions Image 13 Solutions Image 14 Solutions Image 15 NCERT Solutions for Class 11 Maths chapter 10 Image 16 NCERT Solutions for Class 11 Maths chapter 10 Image 17 NCERT Solutions for Class 11 Maths chapter 10 Image 18 NCERT Solutions for Class 11 Maths chapter 10 Image 19 Solutions Image 20 Solutions Image 21 Solutions Image 22 Solutions Image 23 Solutions Image 24 Solutions Image 25 Solutions Image 26 Solutions Image 27 Solutions Image 28 Solutions Image 29 Solutions Image 30 Solutions Image 31 Solutions Image 32 Solutions Image 33 Solutions Image 34 Solutions Image 35 Solutions Image 36 Solutions Image 37 Solutions Image 38 Solutions Image 39 Solutions Image 40 Solutions Image 41 Solutions Image 42 Solutions Image 43 Solutions Image 44 Solutions Image 45 Solutions Image 46 Solutions Image 47 Solutions Image 48 Solutions Image 49 Solutions Image 50 Solutions Image 51 Solutions Image 52 Solutions Image 53 Solutions Image 54 Solutions Image 55 Solutions Image 56 Solutions Image 57 Solutions Image 58 Solutions Image 59 Solutions Image 60 Solutions Image 61 Solutions Image 62 Solutions Image 63 Solutions Image 64 Solutions Image 65 Solutions Image 66 Solutions Image 67 Solutions Image 68

So, that’s all from this article. I hope you enjoyed this post. If you found this article helpful then please share it with other students.

Also Read,

Download Class 11 Maths Chapter Sets Short Notes.

Download Class 11 Maths Book Chapterwise

Download Class 11 Maths Exemplar Chapterwise

If you have any Confusion related to NCERT Solutions for Class 11 Math chapter 10 then feel free to ask in the comments section down below.

To watch Free Learning Videos on Class 11 by Kota’s top Faculties Install the eSaral App

Leave a comment