Start Prep From 0 & Get IIT Bombay with Most Powerful JEE Dropper Course

NCERT Solutions for Class 11 Maths chapter 5 - Complex Numbers and Quadratic Equations

NCERT Solutions for Class 11 Maths chapter 5 - Complex Numbers and Quadratic Equations
Hey, are you a class 11 student and looking for ways to download NCERT Solutions for Class 11 Maths chapter 5 "Complex Numbers and Quadratic Equations"? If yes. Then read this post till the end.

In this article, we have listed NCERT solution for class 11 Maths Chapter 5 in PDF that is prepared by Kota’s top IITian’s Faculties by keeping Simplicity in mind.

If you want to learn and understand class 11 Maths chapter 5 "Complex Numbers and Quadratic Equations" in an easy way then you can use these solutions PDF.

NCERT Solutions helps students to Practice important concepts of subjects easily. Class 11 Maths solutions provide detailed explanations of all the NCERT exercise questions that students can use to clear their doubts instantly.

If you want to score high in your class 11 Maths Exam then it is very important for you to have a good knowledge of all the important topics, so to learn and practice those topics you can use eSaral NCERT Solutions.

In this article, we have listed NCERT Solution for Class 11 Maths chapter 5 that you can download to start your preparations anytime.

So, without wasting more time Let’s start.

Download The PDF of NCERT Solutions for Class 11 Maths Chapter 5 "Complex Numbers and Quadratic Equations"

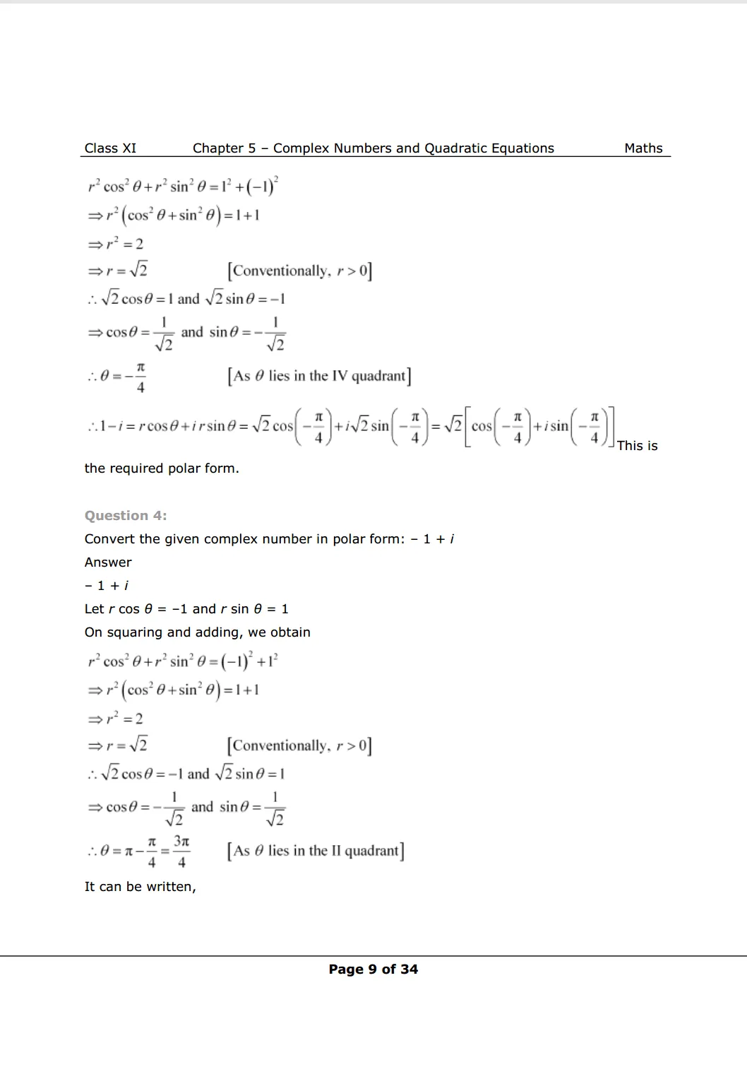
NCERT Solutions for Class 11 Maths chapter 5 Image 1 NCERT Solutions for Class 11 Maths chapter 5 Image 2 NCERT Solutions for Class 11 Maths chapter 5 Image 3 NCERT Solutions for Class 11 Maths chapter 5 Image 4 NCERT Solutions for Class 11 Maths chapter 5 Image 5 NCERT Solutions for Class 11 Maths chapter 5 Image 6 NCERT Solutions for Class 11 Maths chapter 5 Image 7 NCERT Solutions for Class 11 Maths chapter 5 Image 8 NCERT Solutions for Class 11 Maths chapter 5 Image 9 NCERT Solutions for Class 11 Maths chapter 5 Image 10 Solutions Image 11 Solutions Image 12 Solutions Image 13 Solutions Image 14 Solutions Image 15 Solutions Image 16 Solutions Image 17 Solutions Image 18 Solutions Image 19 Solutions Image 20 Solutions Image 21 Solutions Image 22 Solutions Image 23 Solutions Image 24 Solutions Image 25 Solutions Image 26 Solutions Image 27 Solutions Image 28 Solutions Image 29 Solutions Image 30 Solutions Image 31 Solutions Image 32 Solutions Image 33 Solutions Image 34

So, that’s all from this article. I hope you enjoyed this post. If you found this article helpful then please share it with other students.

Also Read,

Download Class 11 Maths Chapter Complex Numbers and Quadratic Equations Notes.

Download Class 11 Maths Book Chapterwise PDF

Download Class 11 Maths Exemplar Chapterwise PDF

If you have any Confusion related to NCERT Solutions for Class 11 Math chapter 5 then feel free to ask in the comments section down below.

To watch Free Learning Videos on Class 11 by Kota’s top Faculties Install the eSaral App

Leave a comment

Comments

Gautam Kumar
May 10, 2025, 6:35 a.m.
11th class ka math ka NCERT book all chapter hindi medium
Gautam Kumar
May 10, 2025, 6:35 a.m.
11th class ka math ka NCERT book all chapter hindi medium
Gautam Kumar
May 10, 2025, 6:35 a.m.
11th class ka math ka NCERT book all chapter hindi medium
Gautam Kumar
May 10, 2025, 6:35 a.m.
11th class ka math ka NCERT book all chapter hindi medium
Gautam Kumar
May 10, 2025, 6:35 a.m.
11th class ka math ka NCERT book all chapter hindi medium