Question:
12 spheres of the same size are made from melting a solid cylinder of 16 cm diameter and 2 cm height. The diameter of each sphere is
(a) $\sqrt{3} \mathrm{~cm}$
(b) 2 cm
(c) 3 cm
(d) 4 cm
Solution:
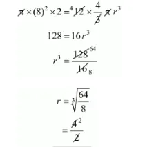
The volume of solid cylinder = 12 × volume of one sphere

$r=2 \mathrm{~cm}$
The required diameter d = 2 × 2 = 4 cm
Hence, the correct answer is choice (d).