Question:
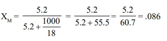
A $5.2$ molal aqueous solution of methyl alcohol, $\mathrm{CH}_{3} \mathrm{OH}$, is supplied. What is the mole fraction of methyl alcohol in the solution ?
Correct Option: 1
Solution:
$5.2 \mathrm{~m} \mathrm{CH}_{3} \mathrm{OH}$ ie $5.2 \mathrm{~mol} \mathrm{CH} \mathrm{CH}_{3}$ present in $1 \mathrm{~kg}$ water
