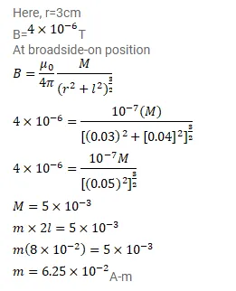
Question: A bar magnet has a length of $8 \mathrm{~cm}$. The magnetic field at a point at a distance $3 \mathrm{~cm}$ from the center in the broadside-on position is found to be $4 \times 10^{-6} \mathrm{~T}$. Find the pole strength of the magnet.
Solution:

