Question:
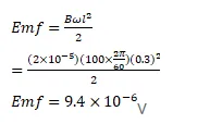
A bicycle is resting on its stand in the east-west direction and the rear wheel is rotated at an angular speed of 100 revolutions per minute. It the length of each spoke is $30.0 \mathrm{~cm}$ and the horizontal component of earth's magnetic field is $2.0 \times 10^{-5}$ T, find the emf induced between the axis and the outer end of the spoke. Neglect centripetal force acting on the free electrons of the spoke.
Solution:
