A capacitor of capacitance 10µF is connected to an oscillator giving an
Question:
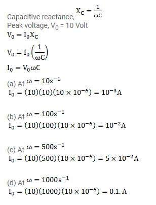
A capacitor of capacitance $10 \mu \mathrm{F}$ is connected to an oscillator giving an output voltage $\varepsilon=(10 \mathrm{~V}) \sin \omega \mathrm{t}$. Find the peak currents in the circuit for $\omega=10 \mathrm{~s}^{-1}, 100 \mathrm{~s}^{-1}, 500 \mathrm{~s}^{-1}, 1000 \mathrm{~s}^{-1}$.
Solution:
