A conducting circular loop having a radius
Question:
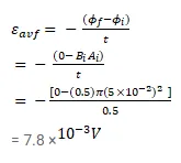
A conducting circular loop having a radius $5.0 \mathrm{~cm}$, is placed perpendicular to a magnetic field of $0.50 \mathrm{~T}$. It is removed from the field of $0.50 \mathrm{~s}$. Find the average emf produced in the loop during this time.
Solution:
