Question:
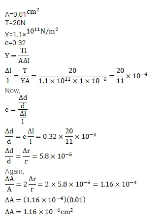
A copper wire of cross-sectional area $0.01 \mathrm{~cm}^{2}$ is under a tension of $20 \mathrm{~N}$. Find the decrease in the cross-sectional area. Young's modulus of copper $=1.1 \times 10^{11} \mathrm{~N} / \mathrm{m}^{2}$ and Poisson's ratio $=0.32\left[\right.$ Hint: $\left.\frac{\Delta \mathrm{A}}{\mathrm{A}}=2 \frac{\Delta \mathrm{r}}{\mathrm{r}}\right]$
Solution:
