A curve passes through the point

Question:

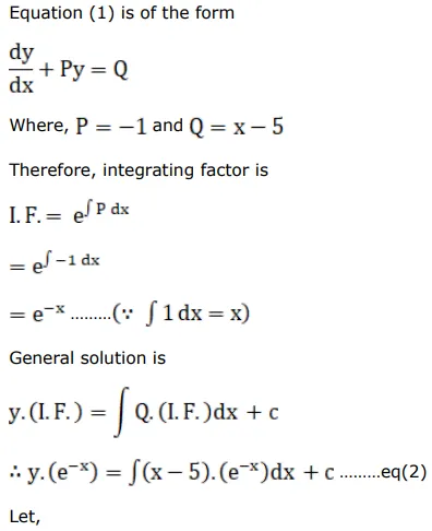
A curve passes through the point $(0,2)$ and the sum of the coordinates of any point on the curve exceeds the magnitude of the slope of the tangent to the curve at that point by 5 . Find the equation of the curve.

Solution:

Leave a comment