A discrete random variable X has the probability distribution

Question:

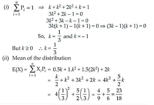
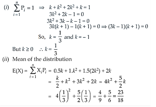
A discrete random variable X has the probability distribution given as below:

(i) Find the value of k

 

(ii) Determine the mean of the distribution.

Solution:

For a probability distribution, we know that if Pi ≥ 0

Leave a comment