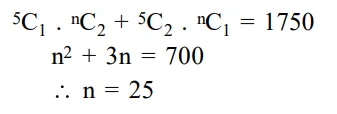
A group of students comprises of 5 boys and
Question:
A group of students comprises of 5 boys and $\mathrm{n}$ girls. If the number of ways, in which a team of 3 students can randomly be selected from this group such that there is at least one boy and at least one girl in each team, is 1750 , then $n$ is equal to:
Correct Option: 1
Solution:
