Question:
A letter is known to have come either from TATA NAGAR or from CALCUTTA. On the envelope, just two consecutive letter TA are visible. What is the probability that the letter came from TATA NAGAR.
Solution:
Let E1 be the event that the letter comes from TATA NAGAR,
E2 be the event that the letter comes from CALCUTTA
And, E3 be the event that on the letter, two consecutive letters TA are visible
Now,
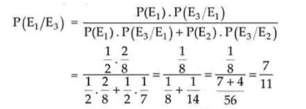
P(E1) = ½, P(E2) = ½, P(E3/E1) = 2/8 and P(E3/E2) = 1/7
For TATA NAGAR, the two consecutive letters visible are TA, AT, TA, AN, NA, AG, GA and AR
So, P(E3/E1) = 2/8
And, for CALCULTTA the two consecutive letters visible are CA, AL, LC, CU, UT, TT and TA
So, P(E3/E2) = 1/7
Now, using Baye’s Theorem we have

Therefore, the required probability is 7/11.