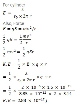
Question:
A long cylindrical wire carries a positive charge of linear density $2.0 \times 10^{-8} \mathrm{C} / \mathrm{m}$. An electron revolves around it in a circular path under the influence of the attractive electrostatic force. Find the kinetic energy of the electron. Note that is independent of the radius.
Solution:
