A particle has an initial

Question:

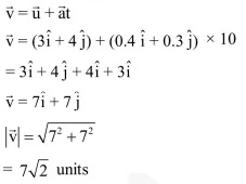
A particle has an initial velocity of $3 \hat{\mathrm{i}}+4 \hat{\mathrm{j}}$ and an acceleration of $0.4 \hat{\mathrm{i}}+0.3 \hat{\mathrm{j}}$.

  1. 7 units

  2. $8.5$ units

  3. 10 units

  4. $7 \sqrt{2}$ units


Correct Option: , 4

Solution:

Leave a comment