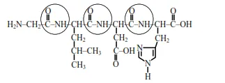
A peptide synthesized by the reactions of one molecule each of Glycine

Question:

A peptide synthesized by the reactions of one molecule each of Glycine, Leucine, Aspartic acid and Histidine will have peptide linkages.

Solution:

Total (3) peptide linkages are present

3 peptide linkage

Ans. (3)

Leave a comment