Question:
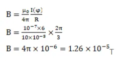
A piece of wire carrying a current of $6.00 \mathrm{~A}$ is bent in the form of a circular arc of radius $10.0 \mathrm{~cm}$, and it subtends an angle of $120^{\circ}$ at the center. Find the magnetic field B due to this piece of wire at the center.
Solution:
