A projectile is given an initial velocity
Question:
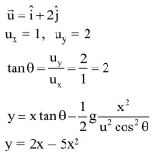
A projectile is given an initial velocity of $(\hat{\mathrm{i}}+2 \hat{\mathrm{j}}) \mathrm{m} / \mathrm{s}$, where $\hat{\mathrm{i}}$ is along the ground and $\hat{\mathrm{j}}$ is along the vertical. If $g=10 \mathrm{~m} / \mathrm{s}^{2}$, the equation of its trajectory is :
Correct Option: , 2
Solution:
