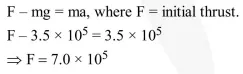
Question: A rocket which has a mass of $3.5 \times 10^{4} \mathrm{~kg}$ is blasted upwards with an initial acceleration of $10 \mathrm{~m} / \mathrm{s}^{2}$. Then the initial thrust of the blast is-
$3.5 \times 10^{5} \mathrm{~N}$
$7.0 \times 10^{5} \mathrm{~N}$
$14.0 \times 10^{5} \mathrm{~N}$
$1.75 \times 10^{5} \mathrm{~N}$
Correct Option: , 2
Solution:
