Question:
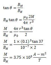
A short magnet produces a deflection of $37^{\circ}$ in a deflection magnetometer in Tan-A position when placed at a separation of $10 \mathrm{~cm}$ from the needle. Find the ratio of the magnetic moment of the magnet to the earth's horizontal magnetic field.
Solution:
