Question:
A solid metallic spherical ball of diameter 6 cm is melted and recast into a cone with diameter of the base as 12 cm. The height of the cone is
(a) 2 cm
(b) 3 cm
(c) 4 cm
(d) 6 cm
Solution:
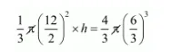
Clearly,
The volume of recasted cone = volume of sphere

$\frac{1}{3} \times 36 \times h=\frac{4}{3} \times 27$
$h=\frac{4 \times 27 \times 3}{3 \times 36}$
$h=3 \mathrm{~cm}$
Hence, the correct answer is choice (b).