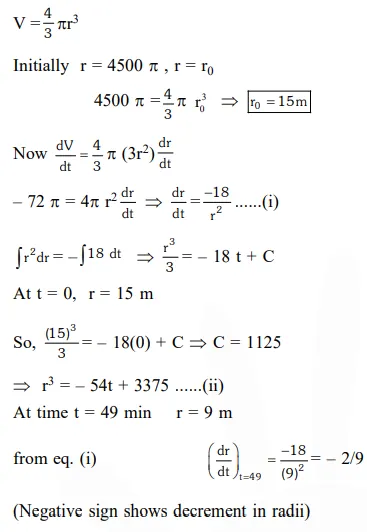
A spherical balloon is filled with
Question:
A spherical balloon is filled with $4500 \pi$ cubic meters of helium gas. If a leak in the balloon causes the gas to escape at the rate of $72 \pi$ cubic meters per minute, then the rate (in meters per minute) at which the radius of the balloon decreases 49 minutes after the leakage began is :
Correct Option: , 4
Solution:
