A spherical tungsten piece of radius 1.0cm
Question:
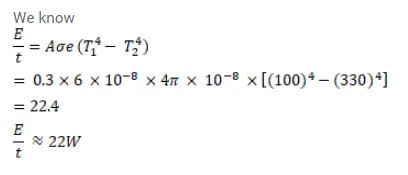
A spherical tungsten piece of radius $1.0 \mathrm{~cm}$ is suspended in an evacuated chamber maintained at $300 \mathrm{~K}$. The piece is maintained at $1000 \mathrm{~K}$ by heating it electrically. Find the rate at which the electrical energy must be supplied. The emissivity of tungsten is $0.30$ and the Stefan constant $\sigma$ is $6.0 \times 10^{-8} W / m^{2}-K^{4}$.
Solution:
