A square shaped copper coil has edges of
Question:
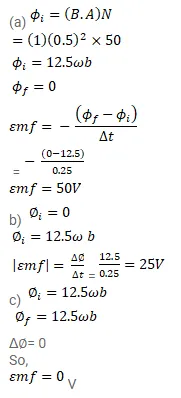
A square shaped copper coil has edges of length $50 \mathrm{~cm}$ and contains 50 turns. It is placed perpendicular to a $1.0 T$ magnetic field. It is removed from the magnetic field in $0.25 \mathrm{~s}$ and restored in its original place in the next $0.25 \mathrm{~s}$. Find the magnitude of average emf induced in the loop during
(a) its removal.
(b) Its restoration.
(c) Its motion.
Solution:
