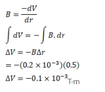
A uniform magnetic field of

Question:

A uniform magnetic field of $0.20 \times 10^{-3} \mathrm{~T}$ exists in the space. Find the change in the magnetic scalar potential as one move through $50 \mathrm{~cm}$ along the field.

Solution:

Leave a comment