A value of α such that

Question:

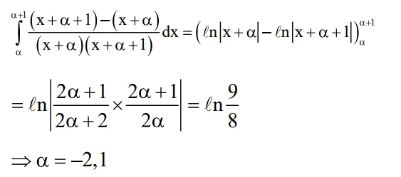
A value of $\alpha$ such that

$\int_{\alpha}^{\alpha+1} \frac{d x}{(x+\alpha)(x+\alpha+1)}=\log _{e}\left(\frac{9}{8}\right)$ is :

  1. $\frac{1}{2}$

  2.  2

  3. $-\frac{1}{2}$

  4. $-2$


Correct Option: , 4

Solution:

Leave a comment