Question:
Add:
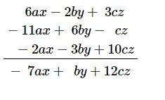
6ax − 2by + 3cz, 6by − 11ax − cz and 10cz − 2ax − 3by
Solution:
Writing the terms of the given expressions (in the same order) in the form of rows with like terms below each other and adding column-wise, we get:
