Ammonium chloride crystallizes in a body centred cubic lattice with

Question:

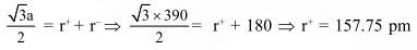
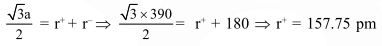
Ammonium chloride crystallizes in a body centred cubic lattice with edge length of unit

cell of 390 pm. If the size of chloride ion is180 pm, the size of ammonium ion would be:

  1. 158 pm

  2. 174 pm

  3. 142 pm

  4. 126 pm


Correct Option: 1

Solution:

Leave a comment