Among the following amines,

Question:

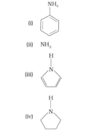
Among the following amines, the strongest Brönsted base is __________.

Solution:

Option (iv) is the answer.

Leave a comment