Question:
An alkene ‘A’ on ozonolysis gives a mixture of ethanal and pentan-3-one. Write structure and IUPAC name of ‘A’.
Solution:

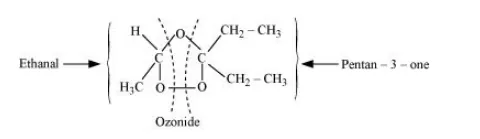
During ozonolysis, an ozonide having a cyclic structure is formed as an intermediate which undergoes cleavage to give the final products. Ethanal and pentan-3-one are obtained from the intermediate ozonide. Hence, the expected structure of the ozonide is:

This ozonide is formed as an addition of ozone to ‘A’. The desired structure of ‘A’ can be obtained by the removal of ozone from the ozonide. Hence, the structural formula of ‘A’ is:

The IUPAC name of ‘A’ is 3-Ethylpent-2-ene.