Question:
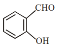
An aromatic compound 'A' having molecular formula $\mathrm{C}_{7} \mathrm{H}_{6} \mathrm{O}_{2}$ on treating with aqueous ammonia and heating forms compound ' $B$ '. The compound ' $B$ ' on reaction with molecular bromine and potassium hydroxide provides compound ' $C^{\prime}$ having molecular formula $\mathrm{C}_{6} \mathrm{H}_{7} \mathrm{~N}$. The structure of 'A' is :
Correct Option: , 3
Solution:




