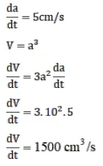
An edge of a variable cube is increasing at the rate of

Question:

An edge of a variable cube is increasing at the rate of $5 \mathrm{~cm} / \mathrm{s}$. How fast is the volume of the cube increasing

when the edge is $10 \mathrm{~cm}$ long?

 

Solution:

Leave a comment