Question:
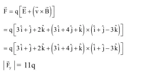
An electric charge $+\mathrm{q}$ moves with velocity $\overrightarrow{\mathrm{V}}=3 \hat{\mathrm{i}}+4 \hat{\mathrm{j}}+\hat{\mathrm{k}}$, in an electromagnetic field given by $\overrightarrow{\mathrm{E}}=3 \hat{\mathrm{i}}+\hat{\mathrm{j}}+2 \hat{\mathrm{k}}, \overrightarrow{\mathrm{B}}=\hat{\mathrm{i}}+\hat{\mathrm{j}}-3 \hat{\mathrm{k}}$. The $\mathrm{y}$-component of the force experienced by $+\mathrm{q}$ is :-
Correct Option: , 2
Solution:
