Question:
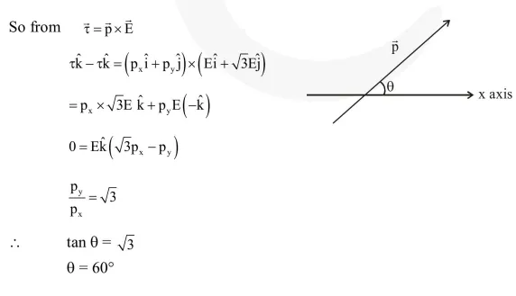
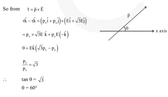
An electric dipole has a fixed dipole moment $\overrightarrow{\mathrm{p}}$, which makes angle $\theta$ with respect to $\mathrm{x}$-axis. When subjected to an electric field $\overrightarrow{\mathrm{E}}_{1}=\mathrm{E} \hat{\mathrm{i}}$, it experiences a torque $\overrightarrow{\mathrm{T}}_{1}=\tau \hat{\mathrm{k}}$. When subjected to another electric field $\overrightarrow{\mathrm{E}}_{2}=\sqrt{3} \mathrm{E}_{1} \hat{\mathrm{j}}$ it experiences torque $\overrightarrow{\mathrm{T}}_{2}=-\overrightarrow{\mathrm{T}}_{1}$. The angle $\theta$ is :
Correct Option: 1
Solution:
