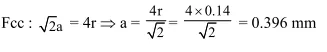
An element having an atomic radius of 0.14 nm crystallizes in an

Question:

An element having an atomic radius of 0.14 nm crystallizes in an fcc unit cell. What is

the length of a side of the cell ?

  1. 0.96 nm

  2. 0.4 nm

  3.  0.24 nm

  4. 0.56 nm


Correct Option: , 2

Solution:

Leave a comment