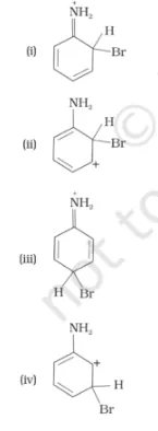
Arenium ion involved in the bromination

Question:

Arenium ion involved in the bromination of aniline is __________.

Solution:

Option (i), (ii) and (iii) are the answers.

Leave a comment