At 20 μF capacitor is joined to a battery of

Question:

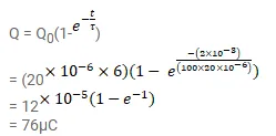
At $20 \mu \mathrm{F}$ capacitor is joined to a battery of emf $6.0 \mathrm{~V}$ through a resistance of $100 \Omega$. Find the charge on the capacitor $2.0$ ms after the connections are made.

Solution:

Leave a comment