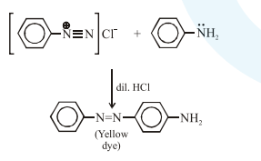
Benzene diazonium chloride on reaction with

Question:

Benzene diazonium chloride on reaction with aniline in the presence of dilute hydrochloric acid gives :


Correct Option: , 3

Solution:

Leave a comment