Complete removal of both the axial ligands
Question:
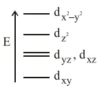
Complete removal of both the axial ligands (along the z-axis) from an octahedral complex leads to which of the following splitting patterns? (relative orbital energies not on scale).
Correct Option: 1
Solution:
If both ligands present along $z$-axis removed from octachedral field and converted into square planar field, then




