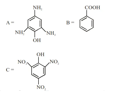
Compound(s) which will liberate
Question:
Compound(s) which will liberate carbon dioxide with sodium bicarbonate solution is/are:

Correct Option: , 3
Solution:

equilibrium favours forward direction and $\mathrm{CO}_{2} \uparrow$ is librated.

Equilibrium favours forward direction and $\mathrm{CO}_{2} \uparrow$ is librated.

Equilibrium favours back word direction and $\mathrm{CO}_{2} \uparrow$ is not librated.