Compute the shortest distance between the lines
Question:
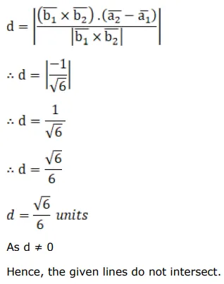
Compute the shortest distance between the lines $\overrightarrow{\mathrm{r}}=(\hat{\mathrm{i}}-\hat{\mathrm{j}})+\lambda(2 \hat{\mathrm{i}}-\hat{\mathrm{k}})$ and $\overrightarrow{\mathrm{r}}=(2 \hat{\mathrm{i}}-\hat{\mathrm{j}})+\mu(\hat{\mathrm{i}}-\hat{\mathrm{j}}-\hat{\mathrm{k}})$ Determine whether these lines intersect or not.
Solution:





