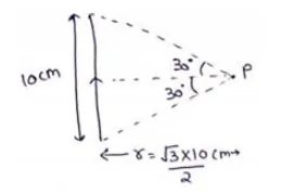
Consider a long piece of wire which carries a current of
Download now India's Best Exam Prepration App
Class 8-9-10, JEE & NEET
Video Lectures
Live Sessions
Study Material
Tests
Previous Year Paper
Revision
Question:
Consider a long piece of wire which carries a current of $10 \mathrm{~A}$. Find the magnitude of magnetic field due to the piece of point which makes an equilateral triangle with the ends of the piece.