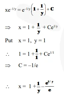
Question: Consider the differential equation $\mathrm{y}^{2} \mathrm{dx}+\left(\mathrm{x}-\frac{1}{\mathrm{y}}\right) \mathrm{dy}=0$. It $\mathrm{y}(1)=1$, then $\mathrm{x}$ is given by :
$1-\frac{1}{y}+\frac{\frac{1}{e^{y}}}{e}$
$4-\frac{2}{y}-\frac{\frac{1}{e^{y}}}{e}$
$3-\frac{1}{y}+\frac{\frac{1}{e^{y}}}{e}$
$1+\frac{1}{y}-\frac{\frac{1}{e^{y}}}{e}$
Correct Option: , 4
Solution:

