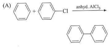
Question:
Consider the following reactions:




Which of these reactions are possible?
Correct Option:
Solution:
The plots of radial distribution functions for various orbitals of hydrogen atom against 'r' are given below:



The correct plot for $3 \mathrm{~s}$ orbital is:
(1) $\mathrm{D}$
(2) B
(3) $\mathrm{A}$
(4) $\mathrm{C}$