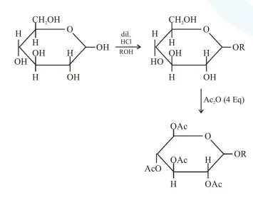
Consider the following reactions :
Question:
Consider the following reactions :


' $x$ ', ' $y$ ' and ' $z$ ' in these reactions are respectively.
Correct Option: , 4
Solution:

due to presence of - OH group in Glucose the reaction is



