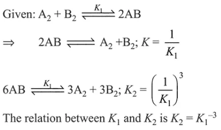
Consider the following reversible chemical reactions:

Question:

Consider the following reversible chemical reactions:

  1. $\mathrm{K}_{1} \mathrm{~K}_{2}=\frac{1}{3}$

  2. $\mathrm{K}_{2}=\mathrm{K}_{1}{ }^{3}$

  3. $\mathrm{K}_{2}=\mathrm{K}_{1}^{-3}$

  4. $\mathrm{K}_{1} \mathrm{~K}_{2}=3$


Correct Option: , 3

Solution:

Leave a comment