Consider the fusion in helium plasma.

Question:

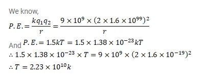
Consider the fusion in helium plasma. Find the temperature at which the average thermal energy $1.5 \mathrm{kT}$ equals the coulomb potential energy at $2 \mathrm{fm}$.

Solution:

Leave a comment