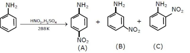
Question: 
Correct statement about the given chemical reaction is :
Reaction is possible and compound (A) will be major product.
The reaction will form sulphonated product instead of nitration.
$-\mathrm{NH}_{2}$ group is ortho and para directive, so product (B) is not possible
Reaction is possible and compound (B) will be the major product.
Correct Option: 1
Solution:
