Differentiate each of the following w.r.t.

Question:

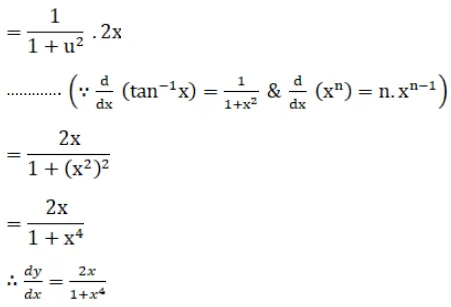
Differentiate each of the following w.r.t. $x$ :

$\tan ^{-1} x^{2}$

Solution:

Leave a comment