Differentiate each of the following w.r.t.

Question:

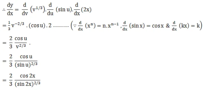
Differentiate each of the following w.r.t. $x$ :

$\sqrt[3]{\sin 2 x}$

Solution:

Leave a comment